CIHRM pays courtesy call on new Labour Minister
Rashid Pelpuo (right), speaking at the meeting with the CIHRM delegation and officials from the MLJE The Council Members of...
Rashid Pelpuo (right), speaking at the meeting with the CIHRM delegation and officials from the MLJE The Council Members of...
Ghanaian artiste Tony Dath has made a bold prediction about King Paluta's chances in the upcoming Telecel Ghana Music Awards...
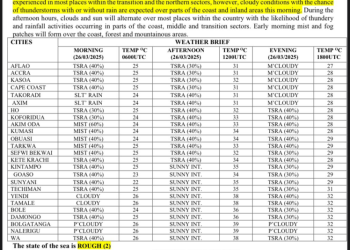
The Ghana Meteorological Agency has issued a weather alert, warning of thunderstorms and rainfall of varying intensities across several parts...
The Ga Traditional Council has announced that, as part of the customary rites leading to the annual Homowo Festival, there...
The Health Community of West Africa Association (HCOWA Association) has pledged to revolutionise healthcare in Ghana and West Africa by...